1, Tujuan
a. Mahasiswa mampu memahami konsep dasar Fuzzy Kontrol Sistem
b. Mahasiswa mampu merancang Robotic Arm dengan fuzzy
2. Alat dan Bahan
Alat yang dibutuhkan pada pembelajaran ini yaitu software MATLAB
3.Dasar Teori
MATLAB
MATLAB merupakan bahasa pemrograman tingkat tinggi yang dikembangkan oleh MathWorks dan dikhususkan untuk komputasi numerik, visualisasi, dan pemrograman.
Tampilan MATLAB:
I. FUNDAMENTAL ADAPTIVE FUZZY CONTROL CONCEPT
Kontrol fuzzy adaptif adalah perluasan dari teori kontrol fuzzy untuk memungkinkan
pengontrol fuzzy memperluas penerapannya, baik untuk kelas ketidakpastian yang lebih luas
sistem atau untuk menyempurnakan parameter sistem ke akurasi
A. Konsep Operasional
Kontroler dirancang berdasarkan model matematika yang diasumsikan
mewakili sistem nyata. Harus dipahami bahwa model matematika
tidak sepenuhnya sesuai dengan sistem nyata yang akan dikendalikan. Sebaliknya,
model matematika dipandang sebagai pendekatan dari sistem nyata
Melacak fungsi kesalahan antara output dari sistem nyata dan
model matematika.
B. Parameterisasi Sistem
sistem dinamis dapat dijelaskan oleh satu set:
pernyataan fuzzy IF-THEN yang mengkorelasikan input dan output. Ini
pernyataan mencakup seperangkat parameter yang digunakan untuk menghitung secara unik
perkiraan keluaran suatu sistem dengan masukan dan keadaan sistem saat ini.
C. Mekanisme Penyesuaian
Menyesuaikan parameter sistem biasanya dilakukan untuk meningkatkan
kinerja sistem loop tertutup secara keseluruhan, atau untuk meningkatkan akurasi
model yang diasumsikan di mana pengontrol dirancang. Proses dari
menghitung penyesuaian parameter adalah mekanisme penyesuaian
disebutkan sebagai bagian dari masalah kontrol adaptif.
D. Panduan Memilih Pengontrol Fuzzy Adaptif
Perlu dicatat bahwa pengontrol fuzzy adaptif, sambil memberikan
meningkatkan akurasi dan efektivitas, harus dipilih dengan hati-hati sesuai
dengan kriteria yang dirancang untuknya. Jika tidak, peningkatan perhitungan
beban kerja untuk implementasi pengontrol fuzzy adaptif mungkin tidak
diimbangi dengan keuntungan dalam akurasi atau efektivitas.
II. GAIN SCHEDULING
Penjadwalan gain adalah metode menggabungkan beberapa pengontrol bersama-sama untuk
mengontrol sistem dinamis tertentu. Dalam pendekatan ini, setiap pengontrol adalah
paling efektif di wilayah tertentu. Menggabungkannya bersama akan membutuhkan
prosedur pemeriksaan kondisi untuk menentukan pengontrol mana yang diaktifkan.
Penjadwalan gain fuzzy terdiri dari serangkaian set aturan, masing-masing terdiri dari:
beberapa aturan logika fuzzy IF-THEN. Setiap himpunan aturan berbentuk
sehingga didapatkan rumus :
III. FUZZY SELF-TUNING REGULATOR
Fuzzy Self-Tuning Regulator (FSTR) adalah perpanjangan dari regulator selftuning tradisional, yang merupakan metode kontrol adaptif untuk menangani sistem dimodelkan dengan aturan logika fuzzy. Dalam pendekatan ini, satu set aturan logika fuzzy adalah digunakan untuk menggambarkan dinamika suatu sistem. Oleh karena itu, pengontrol fuzzy adalah dirancang berdasarkan parameter sistem dan dicirikan olehnya sendiri parameter pengontrol. Desain pengontrol fuzzy dapat diatur sedemikian rupa sehingga parameter fuzzy pengontrol bergantung pada fuzzy sistem parameter
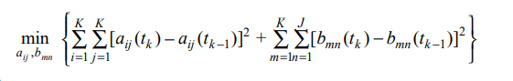
Kendala tambahan ini dapat
mengubah masalah identifikasi sistem menjadi masalah optimasi dari membentuk rumus
4.Video
5.Link Download
-Vidio Download
-Vidio Download





Tidak ada komentar:
Posting Komentar